Tujuan:
1. Mengingat kembali definisi vektor secara geometri dan aljabar.2. Mahir menghitung perkalian titik, panjang vektor, sudut antara dua vektor, vektor proyeksi.
3. Mahir menghitung perkalian silang dan memahami arti geometris serta penggunaannya.
4. Mahir menghitung perkalian tripel skalar dan memahami arti geometris serta penggunaannya.
Skalar: besaran saja
Vektor: besaran dan arah
Vektor secara geometri
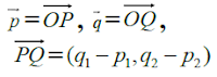
Vektor pada sistem koordinat (aljabar)
Vektor Posisi (pada koordinat Cartesius):
Perkalian Titik
Sifat operasi perkalian titik






















Tidak ada komentar:
Posting Komentar